Forecasting settlement trends using in situ measurements
Optimised calculations
GeoDepl predicts the end of consolidation based on measurements
Technical models
Integrating the methods of Asaoka, Recordon and Al-Shalrani, GeoDepl takes into account simple and complex models
Fast and user-friendly
Simplified import and export of data and results from a spreadsheet (Excel or other formats…)
Efficient assistance
The user benefits from the assistance of an experienced design office
Settlement monitoring software
- Determination of the final amplitude of primary settlement using several methods,
- Estimation of residual settlement,
- Prediction of the date when settlement will have reached a defined consolidation percentage,
- Secondary settlement can be taken into account.
GeoDepl geotechnical software includes
- The ability to enter several reference points directly or via a spreadsheet, and to navigate easily between them when analysing them,
- Introduction to the choice of dates or elapsed time,
- Introduction to the choice of altitudes or settlement values, according to the unit representative of your project,
- Possibility of deactivating certain measurements for a more detailed analysis within a defined time range.
Synthetic calculation outputs
- Summary for all benchmarks of the primary settlement amplitudes calculated using the different methods, and of the vertical consolidation coefficient Cv of the compressible layer,
- Summary by point of the change in final settlement as a function of the number of measurement points considered.
Well-proven calculation methods
- Asaoka‘s method, which plots the displacement at a given time as a function of the displacement at the previous time, with recalculation using a constant time step,
- Recordon‘s method, which looks for an exponential law of settlement as a function of time,
- Al-Shamrani‘s method, which looks for a hyperbolic law of settlement as a function of time,
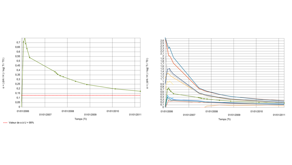
- Plot of the evolution of an alpha coefficient, proportional to Cα, whose curve shape gives the influence of secondary settlement.
Get the latest version of GeoDepl
This link allows you to download the latest version of GeoDepl:
- Either as a trial version, which allows you to use GeoDepl completely, without restriction, for 10 days. You will then be able to see for yourself just how useful and relevant GeoDepl is for your geotechnical projects.
- Or as a full version if you already have a protection key




